หน้าแรก > รายชื่อสถานประกอบการ
รายชื่อสถานประกอบการ
- พ.ร.บ.ยา
- พ.ร.บ.ให้ใช้ประมวลกฎหมายยาเสพติด
- พ.ร.บ.ผลิตภัณฑ์สมุนไพร
- พ.ร.บ.เครื่องสำอาง
- พ.ร.บ.เครื่องมือแพทย์
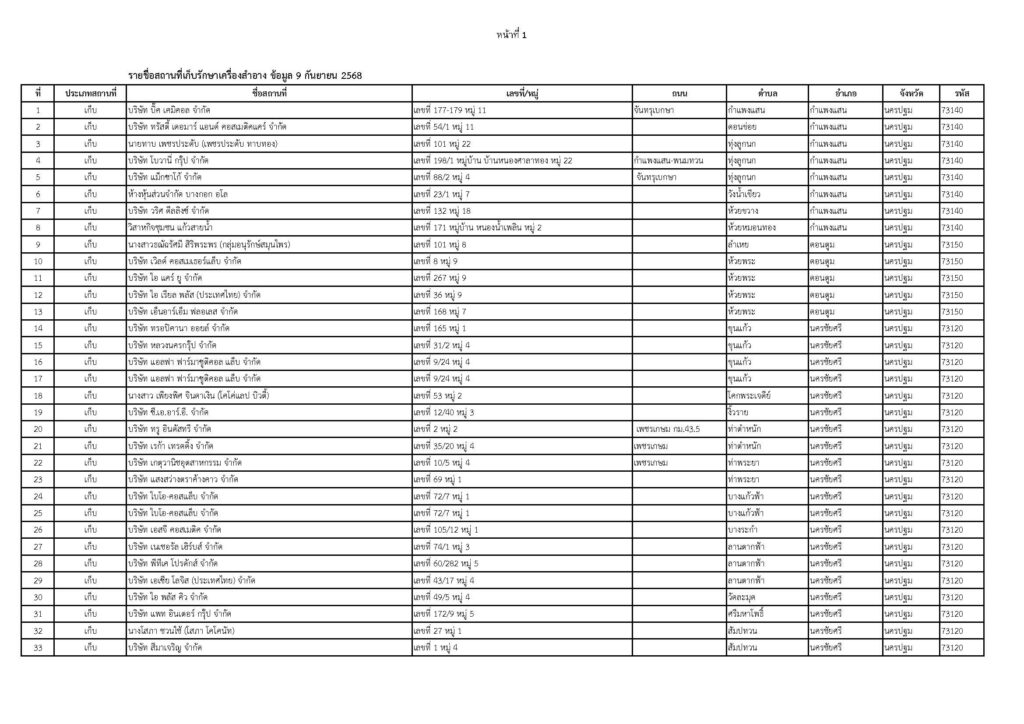
- พ.ร.บ.วัตถุอันตราย
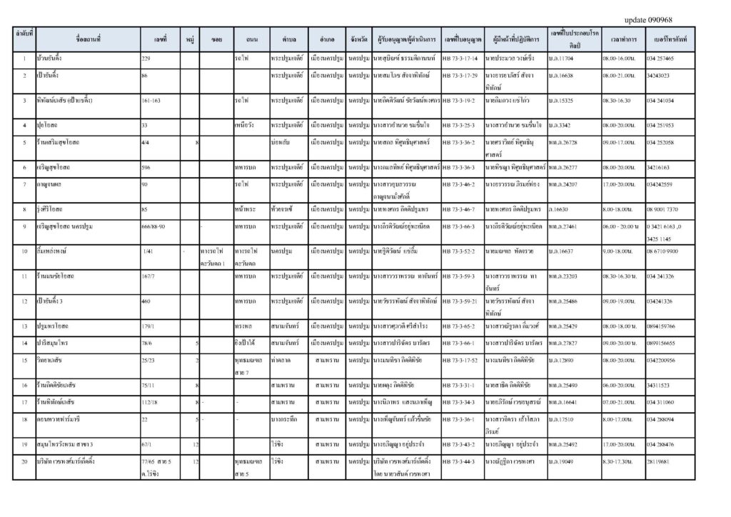
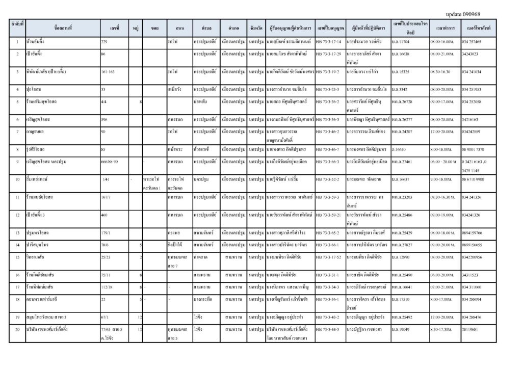
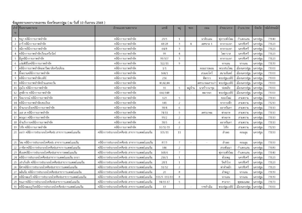
- พ.ร.บ.สถานพยาบาล
พ.ร.บ.สถานประกอบการเพื่อสุขภาพ
- นวดเพื่อสุขภาพ
- นวดเพื่อเสริมความงาม
- สปา
- การดูแลผู้สูงอายุและผู้มีภาวะพึ่งพิง
